Дульная энергия пневматического оружия – теория и практика мощности
Добрый день. Сегодня у нас немного пневматической физики и прикладной юриспруденции в подаче «для чайников». Многое из приведенного ниже уже несколько раз обсуждалось на страницах этого издания, поэтому все нижеприведенное будет освящаться лишь одну общую тему – мощность пневматики.
В чем сила, брат?
Здесь мы попытаемся определить, в каких же единицах нужно измерять «дурь» пневматических пистолетов и винтовок, от которой зависит, что он способен пробить и чего натворить. К слову, оценивать мощность по способности пробивать «ну очень толстые» бутылки не стоит, в этом отношении пневматика делится только на два класса – пробивает и не пробивает.

Так в чем же сила?
Многие спецы с абсолютной и непоколебимой уверенностью будут доказывать вам, что дело в скорости. И чем скорость больше, тем ствол мощнее. В рамках одного боеприпаса это, безусловно, правда. Но при использовании пуль различной массы в итоговой мощности пистолета начинается разброс, причем весьма заметный.
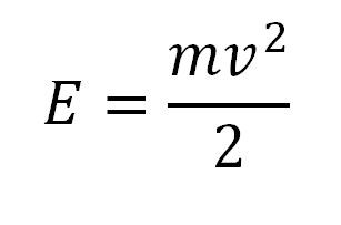
Чтобы компенсировать этот фактор, и дать объективную оценку силе и мощности пистолета оружейники обращаются к школьной физике. Именно оттуда к нам приходит знаменитая формула кинетической энергии, называемой в законе «Об оружии» Дульной энергией.

где m – масса пули (в кг), v – скорость вылета пули (измеряем по хронографу), E – итоговая дульная энергия.
В физике сила измеряется в Ньютонах, мощность в Ваттах, а наша итоговая энергия в Джоулях (Дж). Так что, когда говорят что-то про «силу выстрела пневматики» или «мощность пневматического пистолета» не придираемся к словам, а понимаем, что речь идет про те самые Джоули.
Классификация пневматики по энергии
Везде есть энергия, и при особом подходе все можно измерить. Мы же остановимся на стандартной классификации пневматического оружия с точки зрения дульной энергии с поправками на закон «Об оружии».
До 3 Дж, без указания калибра
Не оружие, образцы для первоначального обучения и развлекательной стрельбы. Много из мира хардбола в калибре 4,5 мм лежит именно в этом классе (МР-654к, МР-651кс, МР-661кс).
До 3 Дж, кал. 6-8 мм
«Аирсофт» пневматика. Большая часть имеет внешнюю схожесть с известными боевыми аналогами. Применяется в игре «Страйкбол», не оружие.
3,5 Дж, кал. 10 мм
Маркеры чуть более 3 Дж для пейнтбола, копирующие боевые аналоги. Не оружие, выступает спортивным снарядом.
до 7,5 Дж, кал. 4,5 мм
Оружие для спортивной и развлекательной стрельбы. Повсеместно в РФ применяется в игре «Хардбол». В основном сюда попадают винтовки (Crosman 1077, оригинальные «Мурки») и малая часть пистолетов (Аникс 111, Аникс А-3000 «Скиф»).
14 Дж, кал. 17,3 мм
Стандартные спортивные пейнтбольные маркеры. Спортивный снаряд.
До 25 Дж, любого калибра
Спортивная и охотничья пневматика. Приравнивается к огнестрельному, а поэтому требует разрешений и лицензий.
Свыше 25 Дж
Спортивная, охотничья, боевая пневматика. В РФ имеются проблемы с сертификацией подобных образцов в связи с отсутствием их в законе.
И снова формулы
С матчастью вроде ознакомились, теперь перейдем к практике. Итак, есть одна формула с тремя переменными. А значит, мы ее можем использовать для трех разных случаев (все это уже писал на форуме, здесь только повторюсь):
1. Известна масса пули, замерена скорость выстрела – определяем дульную энергию оружия:

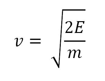
2. Уже известна примерная дульная энергия (по прошлому пункту), меняем массу пули на другую – вычисляем возможную скорость вылета:

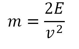
3. Известна дульная энергия, хотим определить массу пули для достижения нужной скорости – вычисляем:

Но знать математику, конечно, хорошо, но лучше, когда за вас уже что-то считает. Предлагаю калькулятор для решения вышестоящих задач:
Калькулятор для пневматического оружия
И помните, что на практике все работает немного по-другому, и что ожидает вашу пулю за пределами ствола порой невозможно предсказать. Удачи в измерениях, играем в хардбол, соблюдаем правила и технику безопасности.

